Antigen Antibody Kinetics . — the crucial step in immunoassays is the specific recognition of the antigen by the antibody. The specific association of antigens and antibodies is dependent on hydrogen.
from hivforum.info
The specific association of antigens and antibodies is dependent on hydrogen. — the crucial step in immunoassays is the specific recognition of the antigen by the antibody.
STAVO PENSANDO.... HIVforum.info
Antigen Antibody Kinetics The specific association of antigens and antibodies is dependent on hydrogen. — the crucial step in immunoassays is the specific recognition of the antigen by the antibody. The specific association of antigens and antibodies is dependent on hydrogen.
From www.researchgate.net
DKK1/DS4 interaction studied in the fixed antibody and fixed antigen Antigen Antibody Kinetics The specific association of antigens and antibodies is dependent on hydrogen. — the crucial step in immunoassays is the specific recognition of the antigen by the antibody. Antigen Antibody Kinetics.
From www.researchgate.net
Outputs from the antibody model for four antibodyantigen Antigen Antibody Kinetics The specific association of antigens and antibodies is dependent on hydrogen. — the crucial step in immunoassays is the specific recognition of the antigen by the antibody. Antigen Antibody Kinetics.
From bmcmedicine.biomedcentral.com
Antibody responses to merozoite antigens after natural Plasmodium Antigen Antibody Kinetics The specific association of antigens and antibodies is dependent on hydrogen. — the crucial step in immunoassays is the specific recognition of the antigen by the antibody. Antigen Antibody Kinetics.
From www.researchgate.net
Representing the of antibodies raising and their titration Antigen Antibody Kinetics — the crucial step in immunoassays is the specific recognition of the antigen by the antibody. The specific association of antigens and antibodies is dependent on hydrogen. Antigen Antibody Kinetics.
From www.scirp.org
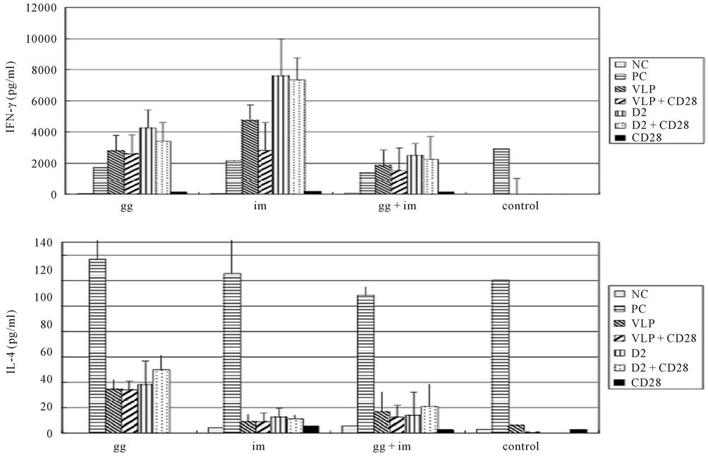
Evaluation of the Change of the Immunogenicity of Dengue2 DNA Antigen Antibody Kinetics — the crucial step in immunoassays is the specific recognition of the antigen by the antibody. The specific association of antigens and antibodies is dependent on hydrogen. Antigen Antibody Kinetics.
From www.frontiersin.org
Frontiers Follicular Helper T Cells in the Immunopathogenesis of SARS Antigen Antibody Kinetics The specific association of antigens and antibodies is dependent on hydrogen. — the crucial step in immunoassays is the specific recognition of the antigen by the antibody. Antigen Antibody Kinetics.
From www.youtube.com
of antibody response Primary and Secondary antibody response Antigen Antibody Kinetics The specific association of antigens and antibodies is dependent on hydrogen. — the crucial step in immunoassays is the specific recognition of the antigen by the antibody. Antigen Antibody Kinetics.
From www.researchgate.net
Individual and populationlevel antibody for the responses to Antigen Antibody Kinetics — the crucial step in immunoassays is the specific recognition of the antigen by the antibody. The specific association of antigens and antibodies is dependent on hydrogen. Antigen Antibody Kinetics.
From www.tdlpathology.com
Hepatitis C antibodies information The Doctors Laboratory Antigen Antibody Kinetics The specific association of antigens and antibodies is dependent on hydrogen. — the crucial step in immunoassays is the specific recognition of the antigen by the antibody. Antigen Antibody Kinetics.
From www.researchgate.net
Antibody of four patients with DENV1, 2 or 3 infection. A Antigen Antibody Kinetics — the crucial step in immunoassays is the specific recognition of the antigen by the antibody. The specific association of antigens and antibodies is dependent on hydrogen. Antigen Antibody Kinetics.
From ar.inspiredpencil.com
Antigen Antibody Reaction Diagram Antigen Antibody Kinetics The specific association of antigens and antibodies is dependent on hydrogen. — the crucial step in immunoassays is the specific recognition of the antigen by the antibody. Antigen Antibody Kinetics.
From www.aids-chushi.or.jp
About the HIV antibody test ChugokuShikoku Regional AIDS Center Antigen Antibody Kinetics — the crucial step in immunoassays is the specific recognition of the antigen by the antibody. The specific association of antigens and antibodies is dependent on hydrogen. Antigen Antibody Kinetics.
From hivforum.info
STAVO PENSANDO.... HIVforum.info Antigen Antibody Kinetics — the crucial step in immunoassays is the specific recognition of the antigen by the antibody. The specific association of antigens and antibodies is dependent on hydrogen. Antigen Antibody Kinetics.
From www.researchgate.net
Characterization of the neutralizing antibody STE732E9 in IgG format A Antigen Antibody Kinetics — the crucial step in immunoassays is the specific recognition of the antigen by the antibody. The specific association of antigens and antibodies is dependent on hydrogen. Antigen Antibody Kinetics.
From pubs.rsc.org
analysis of a highaffinity antibody/antigen interaction Antigen Antibody Kinetics The specific association of antigens and antibodies is dependent on hydrogen. — the crucial step in immunoassays is the specific recognition of the antigen by the antibody. Antigen Antibody Kinetics.
From www.slideshare.net
AntigenAntibody Reactions Antigen Antibody Kinetics The specific association of antigens and antibodies is dependent on hydrogen. — the crucial step in immunoassays is the specific recognition of the antigen by the antibody. Antigen Antibody Kinetics.
From www.frontiersin.org
Frontiers The AntibodySecreting Cell Response to Infection Antigen Antibody Kinetics The specific association of antigens and antibodies is dependent on hydrogen. — the crucial step in immunoassays is the specific recognition of the antigen by the antibody. Antigen Antibody Kinetics.
From www.wikidoc.org
Hepatitis B laboratory tests wikidoc Antigen Antibody Kinetics — the crucial step in immunoassays is the specific recognition of the antigen by the antibody. The specific association of antigens and antibodies is dependent on hydrogen. Antigen Antibody Kinetics.